Uniunea Salvați România a propus recent o inițiativă legislativă menită să crească numărul de parlamentari alocați diasporei românești, considerând ca aceste modificări ar reflecta mai fidel realitatea demografică actuală. Această schimbare ar putea influența distribuția mandatelor parlamentare în mai multe județe, inclusiv în județul Argeș.
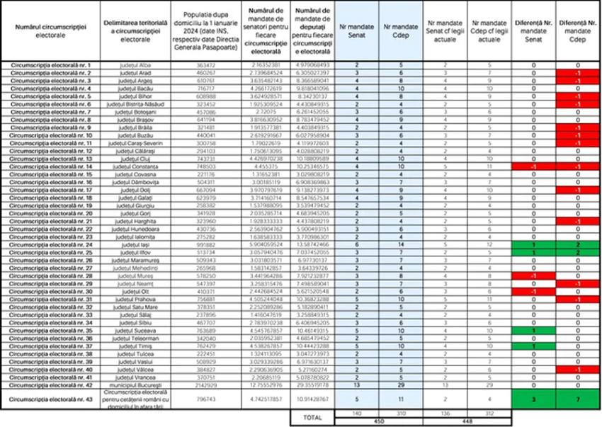
În prezent, circumscripția electorală nr. 43 – Diaspora beneficiază de șase parlamentari. USR propune majorarea acestui număr cu 10 mandate suplimentare, ceea ce ar însemna trei senatori și șapte deputați în plus pentru românii din afara granițelor țării. Această măsură urmărește să ofere o reprezentare mai echitabilă milioanelor de români care trăiesc în străinătate, susțin reprezentanții USR.
Deputatul USR Iulian Lorincz a subliniat importanța acestei măsuri, afirmând că românii din diaspora contribuie anual cu miliarde de euro la economia țării și merită o reprezentare adecvată în parlament. De asemenea, senatorul USR Cătălin Bochileanu a menționat că ajustarea periodică a numărului de mandate în funcție de realitatea demografică este o practică întâlnită în țări precum Germania, Franța, Spania sau Canada și că România ar trebui să adopte un sistem electoral în care fiecare vot contează în mod egal.
Impactul asupra schemei parlamentare din Argeș

Conform simulărilor realizate de USR, creșterea numărului de mandate pentru diaspora ar necesita o redistribuire a locurilor parlamentare, ceea ce ar duce la scăderea numărului de mandate în anumite județe. Printre acestea se numără și județul Argeș, alături de Arad, Bihor, Bistrița-Năsăud, Brăila, Buzău, Caraș-Severin, Constanța, Dolj, Harghita, Mureș, Neamț, Olt, Prahova și Vâlcea. În aceste județe, numărul de mandate ar urma să fie redus pentru a compensa majorarea alocată diasporei.
Astfel, conform acestor simulări, Argeșul ar urma să piardă un mandat de deputat.
Inițiativa legislativă propune și implementarea unui mecanism clar de actualizare a numărului de mandate în funcție de datele demografice actualizate. Astfel, la fiecare ciclu electoral, numărul de mandate ar fi recalculat pe baza datelor oficiale furnizate de Direcția Generală de Pașapoarte, asigurând o reprezentare proporțională și corectă a cetățenilor români, atât din țară, cât și din străinătate.
Material realizat de redacția Ancheta.
Foto descriptiv. Sursă foto: ediția tipărită.
Citiți, de asemenea, pe anchetaonline.ro:
USR: Autostrada Unirii A8, blocată din nou din cauza lui Grindeanu














