Consiliul Județean Argeș anunță că, începând de vineri, 1 august, va deveni operațional Lotul 4 (Mioveni) din cadrul Programului județean de transport public de persoane prin curse regulate, valabil până în 2032. Acesta este ultimul lot introdus și include 11 trasee ce vor lega Mioveniul și Piteștiul de mai multe localități din județ, contribuind la extinderea și modernizarea rețelei de transport public argeșean.
Începând de vineri, 1 august 2025, va intra în vigoare Lotul 4 (Mioveni), ultimul din cadrul Programului județean de transport persoane prin curse regulate, valabil pentru perioada 2025–2032.
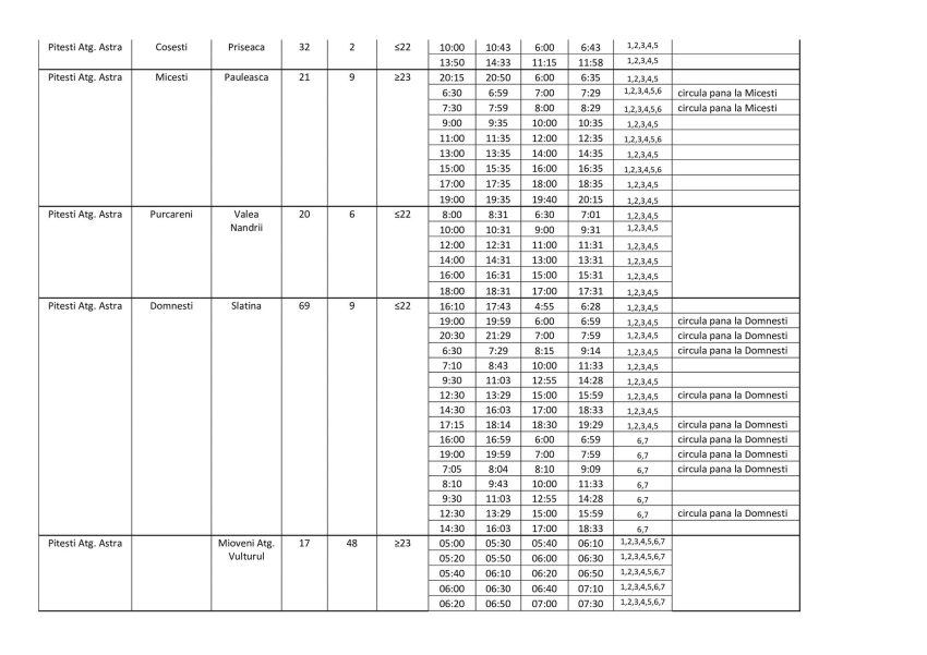
Acest lot cuprinde 11 trasee, după cum urmează:
Trasee cu plecare din Mioveni – Autogara Vulturul:
- Mioveni Atg. Vulturul – Conțești
- Mioveni Atg. Vulturul – Țitești
- Mioveni Atg. Vulturul – Domnești
- Mioveni Atg. Vulturul – Bălilești – Berevoiești
Trasee cu plecare din Pitești – Autogara Astra:
- Pitești Atg. Astra – Budeasa – Ciobotea
- Pitești Atg. Astra – Coșești – Priseaca
- Pitești Atg. Astra – Micești – Păuleasca
- Pitești Atg. Astra – Purcăreni – Valea Nandrii
- Pitești Atg. Astra – Domnești – Slatina
- Pitești Atg. Astra – Mioveni – Atg. Vulturul
- Pitești Atg. Astra – Mioveni – Boteni.
Iată și programul, dar și preșul biletelor ori a abonamentelor la unele trasee, toate prețurile le puteți vedea aici.

Foto descriptiv. Sursă foto: Facebook CJ Arges
Citiți, de asemenea, pe anchetaonline.ro:
Argeșul, nod strategic pe harta infrastructurii: Drumul Expres Craiova – Pitești a fost finalizat














